在用电梯安全评估导则-曳引驱动电梯(试行)
质检总局特种设备局关于印发《在用电梯安全评估导则-曳引驱动电梯(试行)》的通知(质检特函〔2015〕57号)
各省、自治区、直辖市质量技术监督局(市场监督管理部门),各有关单位:
为指导各地开展在用电梯安全评估工作,推动老旧电梯更新改造,总局特种设备局组织制定了《在用电梯安全评估导则-曳引驱动电梯(试行)》,现印发你们。
各地执行中遇到的问题,请及时报我局。
附件:在用电梯安全评估导则-曳引驱动电梯(试行)
质检总局特种设备局
2015年10月14日
目 次
目 次......................................................... 3
前 言 ........................................................ 4
1 范围 ....................................................... 5
2 规范性引用文件 ....................................5
3 术语和定义........................................... 5
4 评估机构要求 ....................................... 6
4.1 基本要求 ............................................ 6
4.2 制度要求............................................ 6
4.3 人员要求 ............................................ 6
4.4 设备要求 ............................................ 7
5 评估过程要求 ....................................... 7
5.1 程序 .................................................... 7
5.2 前期准备 ............................................ 7
5.3 现场评估 ............................................ 7
5.4 风险等级评定................................... 15
5.5 降低风险的措施 ............................... 16
5.6 综合结论判定.................................... 17
6 评估报告要求...................................... 18
6.1 安全评估报告内容 ........................... 18
6.2 安全评估报告格式 ......................... . 19
附 录 A(资料性附录) 报告格式............ 20
A.1 封面.................................................. 20
A.2 扉页 .................................................. 21
A.3 报告内容.......................................... 22
前 言
本导则按照GB/T 1.1-2009 《标准化工作导则 第1部分:标准的结构和编写》的要求编写。
本导则的附录A为资料性附录。
本导则起草单位:上海市特种设备监督检验技术研究院,北京市特种设备检测中心,重庆市特种设备检测研究院,新疆维吾尔自治区特种设备检验研究院,广州市特种机电设备检测研究院,南京市特种机电设备安全监督检验研究院,深圳市特种设备安全检验研究院,厦门市特种设备检验研究院,上海交通大学电梯检测中心。
1 范围
本导则规定了在用曳引驱动电梯安全评估机构基本要求、安全评估程序、内容、方式以及风险等级评定、降低风险措施、综合结论的判定原则、安全评估报告等要求。
2 规范性引用文件
下列文件对于本文件的应用是必不可少的。凡是注日期的引用文件,仅注日期的版本适用于本文件。凡是不注日期的引用文件,其最新版本(包括所有的修改单)适用于本文件。
GB/T 7024《电梯、自动扶梯、自动人行道术语》
GB 7588《电梯制造与安装安全规范》
GB/T 20900《电梯、自动扶梯和自动人行道 风险评估和降低的方法》
GB 24804《提高在用电梯安全性的规范》
GB/T 31821 《电梯主要部件报废技术条件》
TSG T5001 《电梯使用管理与维护保养规则》
3 术语和定义
GB/T 7024、GB 7588、GB/T20900和GB 24804确定的以及下列术语和定义适用于本文件。
3.1
在用电梯 existing lift
已投入使用的电梯。
3.2
安全评估 safety assessment
评估机构接受委托方委托,以实现电梯安全为目的,通过查找设备本体、使用管理、日常维护保养等一个或多个环节中存在的风险隐患,对其进行风险分析和评定,并提出合理可行的安全对策的活动。
3.3
风险隐患 potential risk
设备本体、使用管理、日常维护保养中存在的危险缺陷,如电梯设备的老化磨损或设备、管理活动、日常维护保养中存在的不符合规范标准要求的情况等。
4 评估机构要求
4.1 基本要求
从事电梯安全评估工作的机构(以下简称安全评估机构)应是独立的第三方检验检测机构,具有国家特种设备安全监督管理部门核准的电梯检验检测或型式试验资质。
4.2 制度要求
安全评估机构应当按照相关法律、法规和本导则的要求制定包括安全评估程序和安全评估流程在内的全评估作业指导文件,在本机构正式发布。
安全评估机构应当建立制度对电梯安全评估质量实施控制,并对安全评估结果的真实性、公正性负责。
4.3 人员要求
4.3.1 从事电梯安全评估工作的评估人员应有三年以上与电梯相关检验检测或三年以上电梯专业技术工作的经历。
4.3.2 安全评估机构应组成评估小组。评估小组应由二名(含)以上符合上述条件的人员组成。评估小组组长应具有高级技术职称或电梯检验师(含)以上资格。
评估组组长基本要求:
a) 熟悉电梯的技术要求和相关法规标准;
b) 掌握电梯安全评估程序和流程;
c) 不受任何偏见影响;
d) 具有保障安全评估公正实施的组织能力;
e) 当评估不能达成一致时具有仲裁能力。
4.4 设备要求
评估机构应当配备能够满足评估需求的仪器设备和工具。使用的仪器设备的测量范围和精度应当满足要求。
5 评估过程要求
5.1 程序
安全评估程序包括:前期准备,现场评估,风险等级评定,综合结论判定,出具安全评估报告。
5.2 前期准备
5.2.1 在安全评估过程开始之前,应与委托方协商确定评估目的和评估内容并书面确认。
评估内容可包括至少以下的一个或多个内容:
a) 设备本体;
b) 使用管理;
c) 日常维护保养。
5.2.2 评估人员根据确定的评估内容准备相应的现场评估记录。
5.3 现场评估
5.3.1 设备本体
设备本体的风险隐患查找应当根据确定的内容,选择下列相关项目,包含以下一个或多个,但不限于下列项目内容:
a) 基本情况
1) 档案、记录等资料管理情况;
2) 零配件的更换及供应情况;
3) 运行状况;
4) 故障及维修情况。
b) 机房区域及警示标志
1) 机房环境及通往机房和滑轮间的安全通道;
2) 机房及滑轮间警示标识;
3) 机房和滑轮间的防滑地面;
4) 机房地面高度差和凹坑;
5) 机房和滑轮间有足够的照明;
6) 机房内用于搬运设备的金属支架或吊钩;
7) 温度控制;
8) 机房噪音(定量);
9) 工作安全区间;
10) 旋转部件的安全防护。
c) 减速箱和曳引轮
1) 渗漏油情况;
2) 齿轮油;
3) 齿轮副间隙;
4) 啮合面状态;
5) 齿轮点蚀情况;
6) 轴承;
7) 振动;
8) 曳引轮绳槽磨损。
d) 联轴器
1) 径向跳动;
2) 轴向窜动;
3) 联接情况。
e) 电动机
1) 轴承润滑;
2) 轴承振动;
3) 绝缘;
4) 电机运转状况;
5) 电机运转温度;
6) 过热保护;
7) 编码器。
f) 制动器
1) 工作状况;
2) 维持电压;
3) 松闸装置;
4) 制动器线圈温升;
5) 制动器型式;
6) 制动器磨损情况。
g) 救援装置
1) 设置;
2) 标识;
3) 功能有效性;
4) 平层标记。
h) 层门、轿门与门锁
1) 门锁结构;
2) 证实层门、轿门闭合、锁紧的电气装置;
3) 滚轮磨损;
4) 开关门轮磨损;
5) 门滑块磨损与固定;
6) 层门紧急开锁装置;
7) 层门地坎与层门地平之间高度差;
8) 层门自动关闭装置;
9) 门的运行与导向。
i) 供电设备
1) 总电源开关设置;
2) 电源进线;
3) 电动机和其它电气设备的保护;
4) 总电源开关容量;
5) 照明(开关)。
j) 井道
1) 随行电缆;
2) 补偿绳(链)及二次保护;
3) 顶层高度;
4) 底坑深度;
5) 安全门有效情况;
6) 井道照明;
7) 门刀与层门地坎间隙
8) 门刀与开关门轮间隙;
9) 层门侧井道壁凸出物;
10) 井道孔洞封闭与防护。
k) 对重装置
1) 护栏;
2) 对重轮防护情况;
3) 对重块、架损坏和紧固;
4) 对重靴衬间隙、磨损。
l) 运行区域的安全保护
1) 轿厢运行极限位置的开关的有效性;
2) 平层感应装置。
m) 导轨
1) 导轨形式;
2) 固定情况;
3) 导轨顶面偏差。
n) 悬挂装置
1) 钢丝绳磨损;
2) 钢丝绳断丝;
3) 绳头组合和绳头板情况;
4) 钢丝绳张力;
5) 其他类型的悬挂装置。
o) 轿厢
1) 轿厢照明、通话、风扇和应急照明;
2) 自动门防止夹人装置功能可靠;
3) 轿厢有效面积与额定载重量的关系;
4) 安全窗;
5) 轿顶检修装置;
6) 通风孔。
p) 底坑
1) 底坑扶梯;
2) 缓冲器完好、固定、功能可靠;
3) 停止装置、照明;
4) 底坑底人可到达空间的保护;
5) 限速器张紧轮(位置、防护);
6) 补偿装置。
q) 控制柜
1) 接线状况;
2) 接地导通性能;
3) 绝缘性能;
4) 变频器工作温度;
5) 相序保护装置;
6) 继电器、接触器工作情况;
7) 安全电路;
8) 印刷电路板;
9) 紧急电动运行;
10) 切断制动器电流的接触器的设置;
11) 切断主回路电流的接触器的设置;
12) 门锁回路继电器的设置。
r) 功能试验
1) 平衡系数;
2) 超载保护;
3) 曳引能力;
4) 平层准确度;
5) 安全钳-限速器联动;
6) 空载上行制动距离;
7) 操作信号;
8) 上行超速保护。
s) 乘运质量
1) 全程运行时间;
2) 运行噪音;
3) 启动加、减速度;
4) 电梯运行速度偏差;
5) 轿厢最大水平振动;
6) 轿厢最大垂直振动。
5.3.2 使用管理
a) 电梯使用登记证有效性;
b) 电梯保养合同的有效性;
c) 电梯制造、安装、维保、修理、改造单位资格符合性;
d) 电梯安全管理机构或安全管理人员落实情况;
e) 建立各项电梯安全管理制度和检查制度情况;
f) 各项电梯安全管理制度和检查制度落实情况;
g) 电梯安全管理人员职责履行和记录情况;
h) 建立电梯安全技术档案情况;
i) 日常维护保养及维修改造资金落实情况;
j) 运行环境(包括电梯使用频次和使用者遵守安全使用说明的情况等)。
5.3.3 日常维护保养
a) 维护保养单位及人员资质的有效性;
b) 作业指导文件的有效性;
c) 维护保养单位履行职责义务情况;
d) 维护保养工作执行情况;
e) 维护保养单位的自检情况;
f) 维护保养单位对维保质量的考核情况;
g) 使用单位对维保服务质量评价情况;
h) 维护保养人员技术能力。
5.4 风险等级评定
5.4.1 安全评估机构应当根据伤害发生的概率等级和严重程度对查找的风险隐患进行风险评定,确定风险等级和风险类别。
5.4.2 风险等级评定应根据GB/T20900-2007附录C中所规定的伤害发生的严重程度和伤害发生的概率等级,组合形成不同的GB/T20900-2007附录D表D.1中所列的风险等级,得出表D.2中的I、II、III类风险类别。
5.4.2.1严重程度
a) 1- 高—死亡、系统损失或严重的环境损害;
b) 2- 中—严重损伤、严重职业病、主要的系统或环境损害;
c) 3- 低—较小损伤、较轻的职业病、次要的系统或环境损害;
d) 4- 可忽略—不会引起伤害、职业病、系统或环境损害。
5.4.2.2概率等级
a) A- 频繁——在使用寿命内很可能经常发生;
b) B- 很可能——使用寿命内很可能发生数次;
c) C- 偶尔——在使用寿命内很可能至少发生一次;
d) D- 极少——未必发生,但在使用寿命内可能发生;
e) E- 不太可能——在使用寿命内很不可能发生;
f) F- 不可能——概率几乎为零。
5.4.2.3风险类别
a) I 需要采取防护措施以降低风险;
b) II 需要复查,在考虑解决方案和社会价值的实用性后,确定是否需要进一步的防护措施来降低风险;
c) III不需要任何行动
5.4.2.5 风险类别判定准则
5.5 降低风险的措施
根据每个项目风险等级评定结果,总结电梯设备本体、使用管理和维护保养中存在的问题和安全隐患,提出为降低风险而采取的措施。降低风险的措施应按以下方式进行。
a) 对于被识别出有风险隐患的部件达到GB/T 31821 《电梯主要部件报废技术条件》所规定的判废要求的或制造厂家产品使用说明中规定的判废要求的,需采取更换电梯部件来消除风险。
b) 被识别出有风险隐患的部件未达到GB/T 31821 《电梯主要部件报废技术条件》所规定的判废要求的或制造厂家产品使用说明中规定的判废要求的,需采取调整电梯部件来消除风险。
c) 对于被识别出的风险不能被消除或降低,应告知使用者该装置、系统或过程的遗留风险,如增加警示标志等。
5.6 综合结论判定
5.6.1 综合安全状况等级判定
在确定每一种风险情节的风险类别后,宜按如下方法评定综合安全状况等级:
(1)将三种风险类别分别按照表5-1所示规则赋值:
表5-1
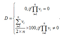
假设vi(i=1,…,n)为对应于第i个风险情节的风险类别的取值,其中n为所有进行评估的风险情节的个数。
(2)按照下列公式计算综合安全状况得分:
(3)根据得分情况,按照表5-2判断综合安全状况等级
表5-2
5.6.2 结论
根据综合安全状况等级判定,综合存在的风险和降低风险保护措施的成本,安全评估机构可以按照下列原则给出相应的安全评估结论:
1) 对于综合安全状况等级为四级的,应当建议电梯立即停用,采取安全措施消除风险后方可使用。
2) 对于综合安全状况等级为三级的,应当尽快采取安全措施消除风险。
3) 对于综合安全状况等级为二级的,需要采取安全措施消除或降低风险。
4) 对于综合安全状况等级为一级的,对评估指出的风险需要加强监护。
5.6.3 降低风险的安全措施建议
1) 对存在风险项目的零部件或系统通过修理可以恢复其安全功能的,应当提出对该电梯进行维修的建议。
2) 对存在风险项目的零部件或系统通过修理不能恢复其安全功能的,应当提出对该电梯进行改造的建议。
3) 对存在风险项目的零部件或系统不能通过修理或改造恢复其安全功能的,或修理或改造更换零部件的价值高于同类整机价值的50%的,宜提出对该电梯进行更新。
4) 对使用管理、维护保养方面存在问题的,应当提出改进意见。
6 评估报告要求
6.1 安全评估报告内容
安全评估报告主要内容一般包括电梯安全评估目的和依据、评估内容、评估人员组成、电梯设备概况、评估过程及主要仪器设备、电梯安全评估技术分析、电梯安全评估综合结论等。安全评估报告可根据委托方的委托项目作相应调整。
6.2 安全评估报告格式
安全评估报告格式及主要内容参见附录A(资料性附录)。安全评估报告的结论页应当有安全评估、审核、批准人员的签字和安全评估机构检验专用章或者公章。安全评估报告中的电梯设备概况、综合分析内容与安全评估综合结论应当按照下述规定的内容描述:
a)电梯设备概况
电梯设备概况内容应当至少包括:
1)电梯基本参数;
2)电梯安装、改造、重大维修情况。
b)安全评估综合分析内容
电梯安全评估综合分析内容应当至少包括:
1)电梯设备本体安全评估分析,按设备不同系统分析各项目存在的风险,提出相应的降低风险措施;
2)电梯使用管理情况、维护保养情况分析,分别提出存在问题和加强电梯使用管理与维护保养的建议。
c) 安全评估结论及建议
安全评估报告中使用下列综合结论:
1) 本次安全评估,该电梯安全等级为x级,建议XX(更新、改造、修理)。
2) 本次安全评估,该电梯安全等级为一级,建议对评估指出的风险加强监护。
附 录 A
(资料性附录)
报告格式
Guidelines Of Safety Assessment For Elevators In Use –Traction-Drived Elevator (Trial Implementation)
Special Equipment Safety Supervision Bureau of General Administration of Quality Supervision, Inspection and Quarantine of the PRC has released to every area a notice of Guidelines of Safety Assessment for Elevators In Use –Traction-Drived Elevator (trial implementation) on October the 14th , 2015. This document has provided a new and specified standard and requirement for the assessment of elevator safety and promoting madification and transformation for elevators.
