电梯分级制动式安全钳圆筒薄壳弹簧设计与应用 —— 智能电梯产品系统化介绍(六)
编者按:针对电梯在高速及重载运行工况下,目前,我国还没有合适配套轿厢用安全钳。同时,针对当前电梯监督检验125%载荷安全钳制动检测时,如没有可靠的能量消耗措施,则其制停时产生的破坏力是十分惊人的。由此,需要研发一种既保护轿厢受到高能量的冲击,又使其80%以上能量消耗在制动过程的安全钳钳体中。则通过其薄壳组合圆筒弹性结构,运用有限元设计理论,解决其在不同能量的冲击下,利用第一级组合圆筒体将其大部分能量消耗在此弹性元件中。
一、问题的提出
当前,我国电梯行业曳引式电梯产品配套用的安全钳品种齐全,依据其制动方式,分为渐进式和瞬时式两种形式。且其结构与形式各异。它常用于曳引式中、低速乘客电梯和载货电梯等产品中。那么,高速或超高速电梯是否具备其适用的安全钳呢?至目前为止,我国高速或超高速电梯配套使用的安全钳均为进口部件,且重载或超重载系列安全钳国内也无人涉足。随着国家经济高速发展,城市及工业化建设步伐越来越快,高速与重载电梯无疑将逐步进入各地。因此,对于我们电梯系统性研究机构有责任与义务解决此类问题。所以,应利用当今各类新型材料、技术的面世,兼顾考虑其结构的实用性、通用性及先进性。
电梯在载重量较大,或较高速度运行过程中,因电梯在故障或超速过程中安全钳突然动作时,由于制动过程中时间极短,其轿厢的动能与势能形成巨大的冲击能量,造成对导轨与轿厢等不同程度的损伤与变形。同时,易对人身造成伤害。尤其对电梯监督检验125载荷检测中,如安全钳本身没有有效的能量消耗措施,则其制停时对轿厢产生的破坏力是无法想象的。国内外电梯用安全钳卡块动作结构主要分为三大类:1.楔块式;2.偏心块式;3.滚柱式(即滚柱为一实心圆柱体)。尽管它们各有所长,但在电梯运行制动过程中都同样产生对导轨或轿厢等损伤及变形。关于这点我们从上海交通大学提供的电梯安全钳制停过程中能量分配有关试验数据分析得知,具体摘录如下,见下表1:
表1 安全钳制停过程中能量分配有关试验数据

综上所述,上述安全钳各结构有所长短。从与导轨接触来看,偏心块式明显动作可靠性低,且局部接触应力很大,则不可能作为较高速度电梯的配套使用。而滚柱式结构对导轨破坏也大,可见,作为载重量较大,或较高速度电梯的配套使用也觉得力不从心。至于楔块式结构的主要能量消耗在本身,这是设计电梯运行制停过程中,当产生巨大能量时,能将此能量吸收最好地考虑结构。因此,利用此结构主体,能否选择一种像液压缓冲器一样的耗能材料及装置,将电梯在较高速,或重载,或125负载检测时,运行制停中产生的巨大能量消耗自身约80%以上,这就是本方案设计所要解决问题的目标值。
二、结构与原理
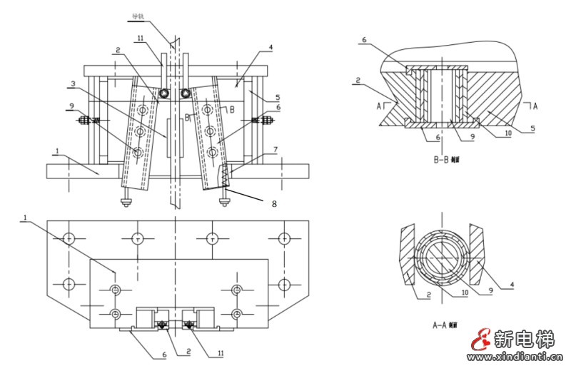
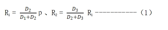
由上可知,本安全钳发明理念须以此点为目标。根据各类安全钳整体结构及弹性元件的特点,综合楔块式与滚柱式两者优点,,引入新型耗能元件,独辟蹊径形成一组合式整体结构产品。即将该种安全钳主体结构设计成常用弹性导向夹钳式。主体为一焊接式整体结构,内部首层放置U型钳体(可认为是一刚性式夹钳),作为第二级弹性元件。里面制停组件由滚筒组件与楔块及提拉机构相结合,且滚筒组件为数个圆筒嵌入叠加组成薄壳弹性体。中间由销轴固定,而薄壳弹性体可在其上滚动,作为第一级弹性元件。详见图1 B-B剖面所示。

图1 安全钳主体图
可见,电梯在制停过程中一瞬间,轿厢产生的巨大能量绝大部分由其薄壳弹簧组承担及消耗,其余少量在U型钳体上吸收,以最大限度防止对轿厢及导轨的损伤。因此,本安全钳整体结构设计紧凑、安装便利及可靠性高。并其组成的第一级和第二级分级耗能的弹性元件配置合理,恰到好处。
本安全钳整体结构及两级弹性元件布局详见图1所示。
序号1为上、下底板及中间立柱围板整体连成一焊接组件。序号3摩擦板固连在序号2楔块上,图1中所示位置为工作(制动)状态。当序号11提拉杆通过序号1上底板处向上提拉时,带动楔块向上移动,使摩擦板紧紧地压在导轨工作面上。且相应带动序号6保持架也上升到图示位置。同时,使序号10薄壳弹簧组由序号9销轴约束下沿着楔块和序号4钳体斜面向上滚动或滑动。而序号7压缩弹簧被向上的序号6保持架压缩,使序号11提拉杆向上的提拉力有一预定值,以防止安全钳误动作。两侧序号4钳体定位在序号1上、下底板的导槽中,当楔块向上移动时,由于制动分力作用,则压缩钳体向两侧沿着导槽微量移动。此时,序号5为一U型钳体,它置于序号1焊接组件内部,由图中两侧螺栓及压缩弹簧相对定位,可解决楔块安装不对称与受力不均问题。当楔块动作时,压缩序号4钳体与 U型钳体刚性接触,使其承受部分压力或冲击,故消耗剩余一部分侧向力产生的能量。此外,序号7压缩弹簧是空套在序号8调节螺杆上的,当楔块复位时,仍与序号7压缩弹簧一起归位。此时,摩擦板与导轨面留有双边间隙为4~6毫米,这是在安装过程中必须保证的基本参数,以及确保其不对称度问题。
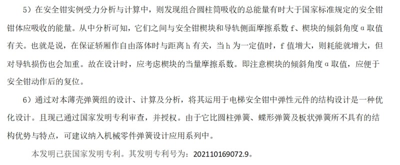
从本安全钳动作原理来看,其原创性重点在于结构中的序号10薄壳弹簧组。它由厚度为t的薄壁圆筒若干个(一般2~3)组合而成,具体详见图1 A-A剖面。并要求每个薄壁圆筒组合时留有0~1mm的间隙不等,其值由不同型号的设计参数而定。从技术角度而言,薄壳弹簧组A-A剖面图所示,放大图形后,模拟在径向承受压力后,其状态相似于一重迭式板弹簧,只不过该结构的曲率半径比汽车上常用的重迭式板弹簧小得多。由于它的受力呈非线性特性,在多组(本案例配有6组)薄壳弹簧,当制动力作用被压缩变形时,使产生的能量大部分消耗在此变形能上,以达到缓冲耗能的目的。
三、薄壳弹簧有限元设计
1. 结构受力分析
综上所述,当电梯在运行过程中发生安全钳动作时,其中薄壳弹簧的组合圆筒沿着楔块面和钳体斜面向上滚动或滑动。此时,我们将受外载及非制动力引起的微量变形省略不计。又当圆筒内外柱面制作成近似镜面,则其表面质量影响和摩擦力可忽略。它用连续均质、各向刚性的线弹性材料(如硅锰钢)制成,则看成在线弹性范围内工作。即安全钳工作时,圆筒承受径向外压力作用,产生变形。同时吸收轿厢运行时的动能与势能,其瞬间完成能量转换,可近似为无振动过程。由于圆筒两端自由,又无轴向外力作用,则轴向内力为零。由此,设定它的单位长度圆筒为薄壳弹簧组;且每一薄壳弹簧组由三个不同直径的圆筒嵌入叠加而成。
2. 力学模型建立
当研究单一薄壳圆筒发生一微小变形后,所设微小弹性变形与外力仍保持平衡状态。则为一中性层圆周长不变,形状可变化的薄壳圆环。依据上述条件对其圆筒结构进行受力分析,可获得其力学模型,详见图2所示。特给出其相关数据如下:
a. 外圆筒厚度:1=d1-d2/2; (d1、d2分别为外圆筒外径、内径)
b. 中圆筒厚度:2=d2-d3/2; (d2、d3分别为中圆筒外径、内径)
c. 内圆筒厚度:3=d3-d4/2; (d3、d4分别为内圆筒外径、内径)
则有
a. 外圆筒中性层直径:d1中= d1+d2/2;
b. 中圆筒中性层直径:d2中= d2+d3/2;
c. 内圆筒中性层直径:d3中= d3+d4/2;

图2 薄壳圆环组合结构
依图2所示,环与环在P力作用时,其相互接触点有a1、a2,
且将其各环之间间隙设为:δ0=0。
则有接触反力:

式中,D1、D2、D3 分别为各圆环的刚度。

= A3 = A(截面面积);G1 = G2 = G3 = G(材料剪切弹性膜料);并取材料修正系数k为6/5。

由上可知,这是一个三次内力超静定问题[2]。将图3对称结构采用对称性分解,可获得4个1/4薄壳圆环的静定结构,如图4(a)所示。

因该圆环的变形相容条件是切口处的连续变形条件,则有变形几何方程式:

依据上式,整理得到整个单位薄壁圆环的总变形能,见公式(9)所示。


四、受力分析与计算
根据上述相关计算公式和数据,则针对某种大吨位载货电梯的安全钳部件进行实例受力核算与分析。下面设定其实例安全钳的相关技术参数:



由此可知,组合圆柱筒吸收的总能量超过了安全钳总能量的80%以上,为第一级弹性元件消耗能量的主体起到了关键的作用,为剩余不到20%能量由第二级弹性元件U型钳体、轿厢及导轨吸收,符合设计时的初衷。在安全钳地动作过程中,尽量而有效地保护了对导轨及轿厢体的损伤等问题。
五、 实例要点与说明
综上所述,通过安全钳的圆筒薄壳弹簧整体受力分析、计算,以及对安全钳国家标准相关要求的计算及校验。由此,得出以下要点及说明。
1)本薄壳弹簧组结构设计可靠、合理。且安全钳整体布局紧凑,与各类轿厢配套适应性好,不仅用于各种较高速度渐进式安全钳,还可替代大载荷瞬时式安全钳。
2)薄壳弹簧组受力分析是在超静定结构下展开,采用有限元积分法简约计算,且是可行的;当然,也可选用有限元矩阵式计算机分析计算。
3)依据其设计结果,认为相关数据或参数应结合承载力大小进行调整。如弹簧组的组成个数改为一个或两个;圆筒的厚度可在1~4mm之间变更;圆筒的长度根据结构要求,最佳选择在30~50mm范围内。
4)单个圆筒组中各圆筒之间的间隙是设定为零,但事实上是不切实际的。如加工的误差、温度及受压变形差异等问题,则在设计中应实际考虑它们之间的制作间隙。

2024年11月整理于益阳
