最新70城房价来了!你家房价咋样?
国家统计局今天(16日)发布数据显示,2022年2月份,70个大中城市中,一线城市新建商品住宅和二手住宅销售价格环比上涨,二三线城市环比持平或下降;一二线城市商品住宅销售价格同比涨幅回落或持平,三线城市同比下降。
一、一线城市新建商品住宅和二手住宅销售价格环比上涨,二三线城市环比持平或下降
2月份,一线城市新建商品住宅销售价格环比上涨0.5%,涨幅比上月回落0.1个百分点,其中北京、上海、广州和深圳分别上涨0.6%、0.5%、0.6%和0.4%;一线城市二手住宅环比上涨0.5%,涨幅比上月扩大0.4个百分点,其中北京、上海和广州分别上涨0.7%、0.9%和0.6%,深圳下降0.2%。二线城市新建商品住宅销售价格环比由上月上涨0.1%转为持平;二手住宅环比下降0.3%,降幅比上月扩大0.1个百分点。三线城市新建商品住宅销售价格环比下降0.3%,降幅比上月扩大0.1个百分点;二手住宅环比下降0.4%,降幅与上月相同。
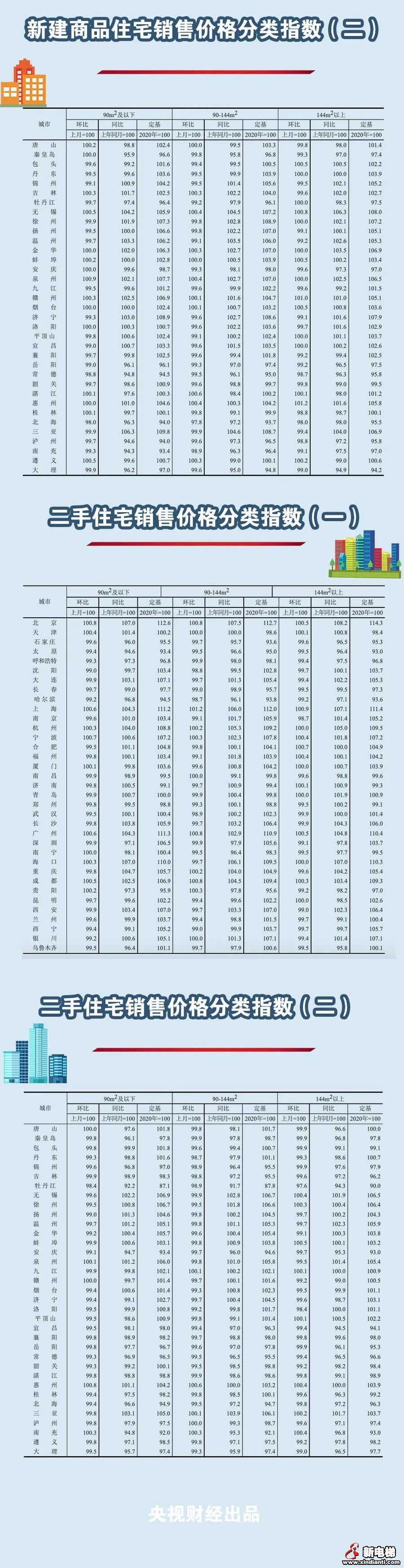
2月份,70个大中城市中,新建商品住宅和二手住宅销售价格环比上涨城市分别有27个和10个,环比下降城市分别有40个和57个。
二、一二线城市新建商品住宅和二手住宅销售价格同比涨幅回落或持平,三线城市同比下降
2月份,一线城市新建商品住宅销售价格同比上涨4.4%,涨幅与上月相同;二手住宅同比上涨3.5%,涨幅比上月回落0.6个百分点。二线城市新建商品住宅和二手住宅销售价格同比分别上涨2.1%和0.3%,涨幅比上月分别回落0.4和0.7个百分点。三线城市新建商品住宅销售价格同比由上月上涨0.5%转为下降0.1%;二手住宅同比下降1.3%,降幅比上月扩大0.6个百分点。
2月份,70个大中城市中,新建商品住宅和二手住宅销售价格同比上涨城市分别有46个和30个,同比下降城市分别有24个和39个。
新建住宅方面,70个大中城市中,有27城环比价格上涨,比上月减少1城,西安环比涨1%领涨。
2022年2月份70个大中城市
商品住宅销售价格变动情况
(快看看你所在的城市吧!)


